クレジットカードの明細って、ちゃんとチェックしていますか??
こないだ久々にクレカ明細をチェックしたら、いったいどこからの引き落としなのか良く分からない不明な引き落とし明細を発見したんです。
前月、前々月と明細を確認すると、やっぱり訳の分からん明細が存在・・・。
こりゃあ勝手に不正に利用されて請求されているのかも?、思ったりして調べて、問合せました。
なんと、およそ10年の期間も毎月支払っていたようで、もしかしたら50万円ぐらい損したかもです・・・。
クレカの不明な引き落とし?
クレジットカードの明細って、最近はWEB明細なので、ちゃんと確認しない人も多いんだと思います。
僕も、ほぼ見ません。
紙明細の時代は、一瞬は見たりしたけれどWEB明細はダメですね。。。いちいちログインして明細確認なんてしないです。
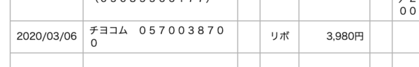
で、こないだ久々にWEB明細を確認したら、下記のような明細が存在したんです。
厳密には1年ぐらい前だったか、この明細を見つけていました。でも気にしなかった・・・。
チョコムって何やねんと。。。
なんとなく気になるクレカ明細だと思って、前月、前々月の明細を見たら、やはり全く同じ明細が存在している。
どうやら毎月6日に勝手に引き落とし、決済されるようです。
でも、いったい何に使ったのか全く記憶がありません。
チョコムって、そんな会社の何か定額サービス使ったのか?
クレカが不正に使われているのか・・・??
チョコムってって何?
チョコムなんて、やっぱりどう考えても記憶がないので、取り敢えず検索。
チョコム、検索したらすぐ出てきますね。
NTTスマートトレードが提供する簡単・便利なネット専用電子マネー「ちょコムeマネー」
いちおう怪しい会社でなくて、とりあえずネット電子マネーであることがわかりました。
じゃあ、具体的に何に使ったのか、詳細調べないといけないので、チョコムに連絡することにしました。
チョコムに連絡して、NTTスマートトレードに確認
チョコムのホームページに、お問合せの欄があったので、連絡。
するとすぐに返信が返ってきて、クレカ明細の「チョコム」の後ろの番号は、電話番号であることが判明。
確かにちゃんと認識すれば、0570ー03ー8700 というTEL番号。
この電話番号をネットで調べたら、NTTスマートトレードであることが分かりました。
ますます訳が分からん・・・。
とりあえず早速電話、事情を話したら本人確認後に調べてくれました。
クレカの不明な引き落とし、正体は??
NTTデータスマートトレードのオペレーターさん、親切に調査結果を教えてくれたんですが、なんとこれまた訳の分からん明細、しかも支払っていた期間がかなり長い事が分かってしまいました・・・。
怪しい引き落としの詳細は「ラブサーチ」?
クレカの怪しい全く記憶のない不明な明細は「ラブサーチ」。
明らかに、エロ系のサービスって感じ・・・。
オペレーターさんが、綺麗な若い女性の声だったので、ますます恥ずかしい感じです。
「ラブサーチって何ですか?」って聞いちゃったんですが、「まぁ、そういったサービスをご利用されたんでしょうねー 笑」
よせば良いのに、つい聞いちゃったから余計に恥ずかしい・・・。
あとで調べたら「ラブサーチ」で出会い系のサービスである事が判明
いったい、いつから「ラブサ」から引き落とされていたのか
しかも「ラブサーチ」の継続課金が長期間であることが判明。
過去の課金履歴では、履歴が確認可能な期間は全て課金されているとのこと・・・。
で、その確認可能な期間はというと、3年だったんです。
つまり2017年5月ぐらいから毎月3,980円が課金されて、引き落とされている事になる・・・。
この時点で、さらに過去から課金されていた事が濃厚です。
取り急ぎ、クレカの不正利用かもしれませんので、次月から課金されないように設定をお願いしました。
「ラブサーチ」に不正利用されてしまってる?
「ラブサーチ」調べたら、すぐにネットで検索出来ます。
これちゃんと調べないと、ひょっとしたらやっぱり不正に登録されちゃってるかもしれませんからね・・・。
取り敢えず不正でないならば、いちおう長年の間で会員なはずなので、サイトにログインが可能なはず。
ログインIDはメールアドレスなので、持ってるメアドで片っ端からログインを試します。
GMAILなどのフリメールが10個以上あるので、とにかく試しましたが、どれも「ログインが出来ません」との事。
期待していたのは「存在しないメアド」「存在するメアドで会員でないメアド」「存在するメアドで会員であるメアド」の3パターンで、エラーメッセージが変わるかもしれないと思ったんです。
しかし期待ハズレ。存在しないメアドでも「ログイン出来ません」
念のため、次の作戦としてパスワード再発行を使ってみたんです。
ログインと同じ様に10個以上のメアドでトライ。
この時に、そう言えば今は存在しないけど過去に使っていたメアドがあったことに気がついたので、そのメアドでパスワード再発行をやってみました。
なんと、今は利用していないメアドでメッセージが変わって、パスワード再設定メールを送信した、旨のメッセージです。
あらら、不正に利用されたのではなくて、自分で登録してしまったのか???
ところが、この今は存在しない利用していないメアドって、
ライブドアメール「 〜@livedoor.com」だったんです。
ライブドアメールって確か2013年に廃止されたはずです。
ということはそれ以前に登録してしまって、そして少なくとも2013年から課金されっぱなしということになります・・・。
「ラブサーチ」に支払った期間、金額は?
ライブドアメール「〜@livedoor.com」にパスワード再設定メールが送信されたとしても、そもそも既にメールアドレスが存在しないので、確認することが出来ません・・・。
とりあえずサポートに問合せて事情を説明しました。
登録時の電話番号などの情報を伝えると、会員であることを認識してもらえました。
会員であることが分かったので、ログインIDの変更依頼と、いったいいつから会員であるのかを問合せたんです。
いったい何時から「ラブサーチ」の会員であったのか。。。
これまた何時から会員であったのか過去履歴が全てあるのではなくて中途半端。
でも少なとも10年前の2010年時点では会員であったようです。。。。
もし10年間だとすれば、恐ろしいことに50万円近く・・・。少なくとも 3,980円×12ヶ月×10年=47,760円 を継続課金していたことになる。。。
もし11年だったら50万円を超えちゃいます・・。
そう言えば、30代の中盤だったか10年以上前に、暇つぶしにいろんな出会い系サイトに登録しまくっていたことを思い出しました。
今回の「ラブサ」を認識して登録したのかは、全く覚えてないけれど、手当たりしだいに出会い系サイトに登録してたので、自分で登録してしまった事が濃厚。
あぁ、クレカを不正利用されたのではなさそうですね・・・。
600万円の借金のうち、およそ10分の1は、ラブサーチの支払いであったなんて、あまりにショック・・・。
あまりにもアホ過ぎ。
いちおう弁護士さんにも、無料相談の範囲で確認しましたが、やはり料金の返還は不可能なようです・・・。
クレカの不明な引き落とし、まとめ
久々に確認したクレカの明細で、聞いたことがないクレカ明細を発見。
ひょっとしたらクレジットカードを不正に利用されてしまってるのかもと思って調べました。
調査の結果、なんと10年以上前に出会い系サイトに登録してしまっていた事が判明・・・。
そして毎月3,980円が継続課金され、総額50万円ぐらい無駄に使っていたことが分かりました・・・。
50万円と言えば、借金総額600万円のおよそ1/10。
これが無かっただけで借金額が少なかった事になりますね・・・。ほんとアホらしい。。
もう過去を悔いても仕方がないし、今さら金が戻る訳ではないです。
クレカ情報が流出して不正に使われたのではなかった事を不幸中の幸いと思うしかないですかね。
とにかくクレカの明細、WEB明細だとしても、ちゃんと確認はしましょう。
時々ちゃんと見れば、たとえ不正利用であっても発見出来るかもしれませんから。

